vlog

Skip to content
NOWCAST vlog News at 7am Sunday Morning
Watch on Demand
Advertisement

Deportation order shows DMPS Superintendent Ian Roberts not a citizen, Nunn says

Deportation order shows DMPS Superintendent Ian Roberts not a citizen, Nunn says
NEWS, THE ARREST OF DOCTOR IAN ROBERTS BY IMMIGRATION OFFICIALS ON FRIDAY HAS CREATED TURMOIL WITHIN THE DES MOINES PUBLIC SCHOOL DISTRICT. WE CONTINUE TO WORK TO FIND AS MANY ANSWERS TO AS MANY QUESTIONS AS POSSIBLE. THAT’S RIGHT, AND WE ARE JOINED NOW BY CONGRESSMAN ZACH NUNN. THANK YOU SO MUCH FOR BEING WITH US TONIGHT. WE APPRECIATE THIS. WHAT HAS YOUR OFFICE LEARNED ABOUT DOCTOR ROBERTS WORK STATUS AND HIS IMMIGRATION STATUS? WELL, STACY, BEN, AS SOON AS WE FOUND OUT ABOUT THIS, WE IMMEDIATELY PUSHED OUR FEDERAL PARTNERS TO BE AS TRANSPARENT AS POSSIBLE. AND I THINK THAT IS IMPORTANT FOR EVERY IOWAN TO KNOW, PARTICULARLY IN THE ROBERTS CASE, BECAUSE IT IS SO HIGH PROFILE EXACTLY WHAT WAS HAPPENING. AND WHEN DID THAT OCCUR? I WANT TO BEGIN BY SAYING, I THINK THAT LAW ENFORCEMENT HANDLED THIS ABSOLUTELY CORRECT. BASED ON THE INFORMATION WE’VE BEEN ABLE TO REVIEW. I FIRST REACHED OUT TO BOTH HOMELAND SECURITY TO ICE AND TO THE DEPARTMENT OF JUSTICE. AND WHAT WE’VE DISCOVERED TODAY THROUGH A FOIA ACT, WHICH I FOUND WOULD TAKE SEVERAL DAYS. WE MADE A DIRECT APPEAL TO THE DOJ TO BE ABLE TO PROVIDE US INFORMATION. THAT’S THE DOCUMENT THAT I’VE SHARED WITH YOU TODAY, AND IT IS A FACTUAL STATEMENT THAT IT IS A FINAL REMOVAL ORDER THAT WAS ISSUED TO IAN ROBERTS ON MAY 2024, AFTER HE FAILED TO APPEAR FOR HIS IMMIGRATION HEARING. IT WAS ISSUED BY AN IMMIGRATION COURT AND IT SAID AT THAT POINT IT FOUND HIM REMOVABLE AND THAT HE WAS ORDERED TO BE DEPORTED TO GUYANA. THIS IS A FINAL ORDER, AND I WANT TO BE CLEAR HERE, THIS IS SOMETHING HE WOULD HAVE KNOWN ABOUT AS EARLY AS MAY 2024. AND WELL BEFORE THAT, AS HE WAS GOING THROUGH HIS APPEAL PROCESS. AND SO HE WAS OFFERED THE OPPORTUNITY TO GO THROUGH. HE WAS FOUND IN VIOLATION AND IT WAS REVOKED. I FURTHER WANT TO HIGHLIGHT HERE THAT IT SHOWS THAT BOTH OUR LOCAL LAW ENFORCEMENT, THROUGH DPS, IN COORDINATION WITH ICE, ACTED APPROPRIATELY, AND THEY WERE ACTING ON A BIDEN ERA DEPORTATION ORDER THAT REQUIRED HIM TO LEAVE AT ANY POINT. THIS INDIVIDUAL COULD HAVE INFORMED BOTH. THE SCHOOL BOARD, COULD HAVE INFORMED THE STATE, AND SHOULD HAVE PRESENTED HIMSELF, WHICH BRINGS A SERIES OF ADDITIONAL QUESTIONS THAT WE ARE LOOKING INTO. HOW DID HE ACQUIRE A HANDGUN? HOW WAS HE REGISTERED TO VOTE IN MARYLAND? HOW WAS HE HERE IN A STATUS AS IOWA’S PREMIERE SCHOOL DISTRICT LARGEST SCHOOL DISTRICT? AS A SUPERINTENDENT? I THINK THERE’S A LOT OF QUESTIONS, OBVIOUSLY, ABOUT ALL OF THIS. WHY, IF IT WAS ISSUED A YEAR AGO, WAS THE SCHOOL DISTRICT NOT INFORMED BEFORE HIS ARREST ON FRIDAY? I THINK THIS IS A BIGGER CONVERSATION WE NEED TO NOW HAVE. I’VE TRIED TO MAKE SURE WE HAVE THE SOURCE DOCUMENT SO WE CAN BEGIN HAVING TRANSPARENCY. I NEED THE SCHOOL DISTRICT TO DO THE SAME. AND HERE’S THE REALITY. THE I9, THE DOCUMENT REQUIRED FOR CITIZENSHIP TO BE ABLE TO WORK AT THE DES MOINES PUBLIC SCHOOLS, IS APPROVED BY THE DES MOINES PUBLIC SCHOOLS, AND THEY CAN GO THROUGH A SEARCH FIRM. BUT ULTIMATELY, IT’S THEIR RESPONSIBILITY GOING FORWARD. I THINK THAT WE NEED TO MAKE VERY CLEAR THAT WHEN THESE TYPE OF DEPORTATION ORDERS ARE OUT THERE, PARTICULARLY FOR SOMEONE IN A POSITION OF PUBLIC TRUST, NOT ONLY DID DOCTOR ROBERTS LIE TO THE SCHOOL, HE LIED TO OUR COMMUNITIES, OUR PARENTS, OUR STUDENTS, AND THAT’S UNFORTUNATE IN THIS SITUATION. BUT THE REALITY IS NOW WE HAVE TO MAKE SURE THIS DOES NOT HAPPEN GOING FORWARD. IT’S ONE OF THE KEY PIECES OF LEGISLATION THAT I’M ALREADY WORKING ON TO MAKE SURE THIS INFORMATION GOES OUT DIRECTLY, BUT THAT WE ALSO HOLD THOSE ENTITIES ACCOUNTABLE WHO ARE EMPLOYERS, TO BE PART OF THE SOLUTION HERE. AND IN THIS CASE, THERE WAS CLEARLY REAL CHALLENGES, REAL GAPS THAT RESULTED THIS TO GO ON FOR WELL OVER A YEAR AT A COST TO TAXPAYERS AND ULTIMATELY AT A COST OF PUBLIC TRUST FOR THIS POSITION. YOU KNOW, CAN YOU TELL US WHAT HAPPENS TO DOCTOR ROBERTS NOW? DO DO PEOPLE IN DES MOINES EVER GET TO SEE HIM AGAIN? IS IS HE IMMEDIATELY DEPORTED? WHAT HAPPENS? WELL, TECHNICALLY HE WAS SUPPOSED TO BE DEPORTED IN MAY OF 2024. THE VERY FACT THAT HE STAYED IN THE COUNTRY THIS LONG WAS ON BORROWED TIME. AT THAT POINT, HE HAD THE OPPORTUNITY TO COME FORWARD, AND HE COULD HAVE MADE THIS RECONCILIATION, AS WELL AS RECOGNIZE THAT THERE COULD HAVE BEEN A FUTURE PATHWAY FORWARD. BUT NOW WE HAVE A SITUATION WHERE HE HAS BEEN IN POSSESSION OF A GUN, NOT ONLY ILLEGALLY AS A NON-U.S. CITIZEN. AND WE HAVE RIGHT HERE IN THE DOCUMENTATION, HE HAS AN A NUMBER, WHICH MEANS HE WAS NEVER A US CITIZEN TO BEGIN WITH. SO WE NEED TO PUT THESE RUMORS TO REST. THERE’S CLEAR DOCUMENTATION THAT HE WAS HERE, NOT ONLY NOT AS A CITIZEN, BUT HERE ILLEGALLY. AND ACTIONING ILLEGAL ITEMS. THE SECOND PIECE OF THIS IS WE WANT TO MAKE SURE THAT GOING FORWARD, NOT ONLY DES MOINES PUBLIC SCHOOLS, BUT NO SCHOOL IN AMERICA FINDS A SENIOR LEADER IN THE CLASSROOM OR OVER THE CLASSROOM IN THIS POSITION OF GREAT COMMUNITY, PERSONAL INTEREST. DOING THIS AGAIN. AND SO WHILE WE CAN TALK ABOUT THE INDIVIDUAL MERITS OF DOCTOR ROBERTS, I THINK WE ALSO HAVE TO RECOGNIZE THIS IS AN INDIVIDUAL WHO BROKE THE LAW REPEATEDLY, HAD MULTIPLE OPPORTUNITIES TO CORRECT THE BEHAVIOR, AND CHOSE INSTEAD TO LIE TO ALL OF US. AND THE DEPORTATION ORDER STANDS WITHOUT APPEAL. I DO HAVE TO ASK THIS QUESTION. I KNOW WE’RE SHORT ON TIME, BUT THERE’S A LOT OF PEOPLE IN OUR COMMUNITY WHO ARE CRUSHED BY THIS WHO ARE SCARED BY THIS. WHAT, AS THEIR ELECTED REPRESENTATIVE, DO YOU SAY TO THEM AT HOME TONIGHT WHEN THEY’RE TRYING TO TALK TO THEIR KIDS ABOUT THE CURRENT STATE OF WHAT OUR IMMIGRATION REFORM AND OUR SITUATION IS IN OUR COUNTRY, BUT ALSO THAT SOMEBODY LIKE THIS IS BEING TREATED IN A WAY THAT THEY FEEL IS UNJUSTLY. I ABSOLUTELY WANT TO BE EMPATHETIC HERE. I MEAN, I’VE WORKED WITH DOCTOR ROBERTS. I THINK MANY OF US IN THE COMMUNITY KNEW DOCTOR ROBERTS AND TRUSTED HIM, WHICH MAKES IT HURT EVEN MORE THAT HE SPENT SO LONG PROVIDING US FALSE INFORMATION. HERE’S WHAT I DO KNOW. I KNOW THAT MY OFFICE HAS PROVIDED ASSISTANCE TO OVER 800 INDIVIDUALS WHO ARE TRYING TO IMMIGRATE LEGALLY THE RIGHT WAY, AND MAYBE HERE AND MAYBE HAVING CHALLENGES. LET’S BE HONEST, OUR IMMIGRATION SYSTEM IS BROKEN, AND WE NEED TO BE ABLE TO HELP THOSE FOLKS WHO ARE IN OUR COMMUNITY BE SUCCESSFUL, TO LIE TO US, TO DO IT THE WRONG WAY IS ABSOLUTELY SENDING THE WRONG SIGNAL TO EVERYONE. SO WHAT I WOULD ASK, IF ANYONE IS IN THAT SITUATION, REACH OUT TO OUR OFFICE, HAVE THESE CONVERSATIONS WITH US EARLY. WE’VE BEEN VERY SUCCESSFUL IN HELPING PEOPLE THROUGH THE IMMIGRATION PROCESS AND HOLD ONE OF THE HIGHEST RANKS IN CONGRESS FOR HELPING THAT TRANSITION, BUT LIKE ANYTHING, WE HAVE TO DO THIS LEGALLY. WE HAVE TO DO IT THE RIGHT WAY, AND WE HAVE TO HOLD THOSE WHO DON’T DO IT ACCOUNTABLE BECAUSE, CANDIDLY, THEY’RE TAKING RESOURCES AWAY FROM THOSE PEOPLE WHO WANT TO DO IT CORRECTLY. AND THIS WILL THEN EVENTUALLY, OR MAYBE NOT EVENTUALLY, BUT IT WILL BRING US TO A CONVERSATION ABOUT WHAT NEEDS TO HAPPEN WITH OUR IMMIGRATION SYSTEM. WE DON’T HAVE TIME FOR THAT TONIGHT. CONGRESSMAN, WE APPRECIATE YOU COMING IN AND SHEDDING SOME MORE LIGHT ON THIS SITUATION BECAUSE THERE ARE A LOT OF QUESTIONS AND YOU HELPED US GET SOME ANSWERS TONIGHT. WE’RE GOING TO BE COMMITTED TO PROVIDING TRANSPARENCY. THE SOURCE DOCUMENTS SPEAK FOR THEMSELVES. I HOPE THAT IOWANS WILL GIVE, YOU KNOW, LAW ENFORCEMENT CREDIT, THAT THEY D
vlog logo
Updated: 10:28 AM CDT Sep 30, 2025
Editorial Standards
Advertisement
Deportation order shows DMPS Superintendent Ian Roberts not a citizen, Nunn says
vlog logo
Updated: 10:28 AM CDT Sep 30, 2025
Editorial Standards
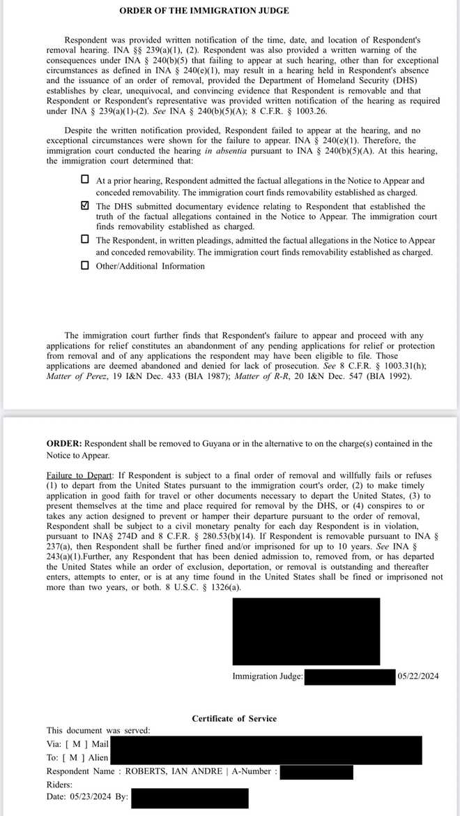
A deportation order dated May 22, 2024, shows Des Moines Public Schools Superintendent Ian Roberts did not appear for an immigration hearing, resulting in a deportation order, according to a redacted order provided by U.S. Rep. Zach Nunn to vlog.“The immigration court finds removability established as charged,” the order reads.Roberts was arrested and detained by Immigration and Customs Enforcement officers on Friday. He has been superintendent since July 2023. The order includes reference to an A number, which would indicate an individual is not a U.S. citizen.The order says Roberts would be returned to Guyana, his native country.You can see part of that order below:Nunn, who represents Iowa's 3rd Congressional District, said his office reached out to ICE and the Department of Justice to get answers.“I want to be clear here. This is something he would have known about as early as May 2024,” Nunn said.School staff and the school board did not get any notification about the order. Board Chair Jackie Norris said Roberts presented a driver’s license and Social Security card as part of an I-9 work verification form. Roberts also passed all background checks during his hiring process and when hired by school districts in other states.WATCH: Full DMPS school board news conference following move to put Ian Roberts on unpaid leaveMore coverage of Ian RobertsFull DMPS school board news conference following move to put Ian Roberts on unpaid leave

A deportation order dated May 22, 2024, shows Des Moines Public Schools Superintendent Ian Roberts did not appear for an immigration hearing, resulting in a deportation order, according to a redacted order provided by U.S. Rep. Zach Nunn to vlog.

“The immigration court finds removability established as charged,” the order reads.

Advertisement

Roberts was arrested and detained by Immigration and Customs Enforcement officers on Friday. He has been superintendent since July 2023. The order includes reference to an A number, which would indicate an individual is not a U.S. citizen.

The order says Roberts would be returned to Guyana, his native country.

You can see part of that order below:

deportation order
Hearst Owned
A deportation order issued in May 2024 regarding DMPS Superintendent Dr. Ian Roberts.

Nunn, who represents Iowa's 3rd Congressional District, said his office reached out to ICE and the Department of Justice to get answers.

“I want to be clear here. This is something he would have known about as early as May 2024,” Nunn said.

School staff and the school board did not get any notification about the order. Board Chair Jackie Norris said Roberts presented a driver’s license and Social Security card as part of an I-9 work verification form. Roberts also passed all background checks during his hiring process and when hired by school districts in other states.

WATCH: Full DMPS school board news conference following move to put Ian Roberts on unpaid leave

More coverage of Ian Roberts

Full DMPS school board news conference following move to put Ian Roberts on unpaid leave

Weather Information

FEELS LIKE